રંગદ્રવ્ય પીળો 97
Pigment Yellow 97 is a bright, durable yellow pigment commonly used in coatings, inks, plastics, and paints. Known for its excellent lightfastness, weather resistance, and non-toxic properties, it offers vibrant color with high opacity. This pigment provides superior color strength and is often chosen for applications requiring consistent, high-quality yellow hues. It’s widely used in industrial sectors such as automotive, textiles, and packaging, offering a reliable and long-lasting color solution. Pigment Yellow 97 is valued for its versatility, environmental safety, and ability to maintain color integrity even under harsh conditions.
| સમાનાર્થી | સીઆઈપીગમેન્ટ પીળો 97; CIPY97; PY97; PY97 |
| CI નંબર | 11767 |
| સીએએસ નંબર | 12225-18-2 |
| ઇયુ નંબર | 235-427-3 |
| મોલેક્યુલર ફોર્મ્યુલા | C26H27CINN4O8S |
| કેમિકલ ફેમિલી | મોનો એઝો |
| રંગ | ![]() |
| હ્યુ વિતરણ |
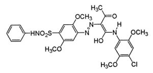
પરમાણુ માળખું:

રંગદ્રવ્ય પીળો 97 ભૌતિક, રાસાયણિક અને ફાસ્ટનેસ ગુણધર્મો
| મોલેક્યુલર વજન | 591.08 |
| પીએચ મૂલ્ય | 7.5 |
| ઘનતા | 1.5 |
| તેલ શોષણ (મિલી / 100 ગ્રામ)% | 45 |
| લાઇટ ફાસ્ટનેસ | 7 |
| ગરમી પ્રતિકાર | 200 (°C) |
| પાણી પ્રતિકાર | 5 |
| તેલ પ્રતિકાર | 4 |
| એસિડ પ્રતિકાર | 5 |
| અલ્કલી પ્રતિકાર | 5 |
એપ્લિકેશન
પિગમેન્ટ યલો 97 તેના વાઇબ્રન્ટ પીળા રંગને કારણે વિવિધ ઉદ્યોગોમાં એપ્લિકેશન શોધે છે. કેટલીક સામાન્ય એપ્લિકેશનોમાં નીચેનાનો સમાવેશ થાય છે:
પેઇન્ટ્સ અને કોટિંગ્સ: પિગમેન્ટ યલો 97 નો ઉપયોગ સુશોભન અને રક્ષણાત્મક હેતુઓ માટે પેઇન્ટ અને કોટિંગ્સના નિર્માણમાં થાય છે. પીળો રંગ આપવા માટે તેને પાણી આધારિત અથવા દ્રાવક-આધારિત પેઇન્ટમાં સામેલ કરી શકાય છે.
પ્રિન્ટીંગ શાહીઃ રંગદ્રવ્યનો ઉપયોગ પેકેજીંગ, પ્રકાશનો અને અન્ય મુદ્રિત સામગ્રી જેવા કાર્યક્રમો માટે પીળી પ્રિન્ટીંગ શાહીઓના ઉત્પાદનમાં થાય છે.
પ્લાસ્ટિક: પીગમેન્ટ યલો 97 ઘણીવાર પીવીસી (પોલીવિનાઇલ ક્લોરાઇડ), પોલિઓલેફિન્સ અને અન્ય પોલિમર સામગ્રી સહિત પ્લાસ્ટિકના રંગમાં ઉપયોગમાં લેવાય છે. તે પ્લાસ્ટિક ઉત્પાદનોને ટકાઉ અને સ્થિર પીળો રંગ આપે છે.
કાપડ: કાપડ ઉદ્યોગમાં, આ રંગદ્રવ્યનો ઉપયોગ કાપડને રંગવા માટે થઈ શકે છે, જે કાપડ અને વસ્ત્રોને પીળો રંગ આપે છે.
ઇંકજેટ ઇંક્સ: પિગમેન્ટ યલો 97 નો ઉપયોગ વિવિધ સબસ્ટ્રેટ પરની છબીઓ અને ટેક્સ્ટ છાપવા માટે ઇંકજેટ શાહી બનાવવા માટે કરી શકાય છે.
કલાકારના રંગો: કલાકારો અને આર્ટ સપ્લાયના ઉત્પાદકો ઓઇલ પેઇન્ટ, એક્રેલિક, વોટર કલર્સ અને અન્ય કલાત્મક માધ્યમોના ઉત્પાદનમાં પિગમેન્ટ યલો 97 નો ઉપયોગ કરી શકે છે.
અન્ય એપ્લિકેશનો: રંગદ્રવ્યનો ઉપયોગ અન્ય વિવિધ એપ્લિકેશનોમાં પણ થઈ શકે છે જ્યાં સ્થિર અને ગતિશીલ પીળો રંગ ઇચ્છિત હોય, જેમ કે સૌંદર્ય પ્રસાધનો, રબર ઉત્પાદનો અને વિશિષ્ટ કોટિંગ્સના રંગમાં.
સંબંધિત માહિતી
Pigment Yellow 97 is a hydroxyl-containing polycarboxylic acid that is used in the production of paints and plastics. It has an oxidation potential of +0.6 volts, which indicates that it is reactive. Pigment Yellow 97 has an absorption maximum at 526 nm and a molecular weight of 317.09 g/mol. The chemical structure of Pigment Yellow 97 consists of a molecule with a reactive carboxyl group and a reactive hydroxyl group, as well as an intramolecular hydrogen bond between the two groups. This pigment also forms coordination complexes with metals such as iron oxides to form particle pigments or mixtures with glycol esters to form solid particles or dispersions, respectively.
નામો અને ઓળખકર્તાઓ
IUPAC નામ: N-(4-chloro-2,5-dimethoxyphenyl)-2-[[2,5-dimethoxy-4-(phenylsulfamoyl)phenyl]diazenyl]-3-oxobutanamide
InChI=1S/C26H27ClN4O8S/c1-15(32)25(26(33)28-18-12-20(36-2)17(27)11-21(18)37-3)30-29-19- 13-23(39-5)24(14-22(19)38-4)40(34,35)31-16-9-7-6-8-10-16/h6-14,25,31H, 1-5H3,(H,28,33)
InChIKey: WNWZKKBGFYKSGA-UHFFFAOYSA-N
પ્રમાણભૂત સ્મિત: CC(=O)C(C(=O)NC1=CC(=C(C=C1OC)Cl)OC)N=NC2=CC(=C(C=C2OC)S(=O)(= O)NC3=CC=CC=C3)OC
કમ્પ્યુટેડ પ્રોપર્ટીઝ
| મિલકત નામ | મિલકત મૂલ્ય |
| મોલેક્યુલર વજન | 591.0 g/mol |
| XLogP3-AA | 4.6 |
| હાઇડ્રોજન બોન્ડ ડોનર કાઉન્ટ | 2 |
| હાઇડ્રોજન બોન્ડ સ્વીકારનારની ગણતરી | 11 |
| રોટેટેબલ બોન્ડ કાઉન્ટ | 12 |
| ચોક્કસ માસ | 590.1238127 Da |
| મોનોસોટોપિક માસ | 590.1238127 Da |
| ટોપોલોજીકલ ધ્રુવીય સપાટી વિસ્તાર | 162 Ų |
| હેવી એટમ કાઉન્ટ | 40 |
| ઔપચારિક ચાર્જ | 0 |
| જટિલતા | 974 |
| આઇસોટોપ એટમ કાઉન્ટ | 0 |
| નિર્ધારિત એટમ સ્ટીરિયોસેન્ટર કાઉન્ટ | 0 |
| અવ્યાખ્યાયિત એટમ સ્ટીરિયોસેન્ટર કાઉન્ટ | 1 |
| નિર્ધારિત બોન્ડ સ્ટીરિયોસેન્ટર કાઉન્ટ | 0 |
| અવ્યાખ્યાયિત બોન્ડ સ્ટીરિયોસેન્ટર કાઉન્ટ | 0 |
| સહસંયોજક-બોન્ડેડ યુનિટ કાઉન્ટ | 1 |
| સંયોજન પ્રમાણભૂત છે | હા |











