રંગદ્રવ્ય પીળો 168-કોરિમાક્સ પીળો ડબજીપી
ઉત્પાદન પરિમાણ સૂચિ
| રંગ અનુક્રમણિકા નં. | રંગદ્રવ્ય પીળો 168 |
| ઉત્પાદન નામ | કોરિમેક્સ યલો ડબલ્યુજીપી |
| ઉત્પાદન ના પ્રકાર | ઓર્ગેનિક પિગમેન્ટ |
| લાઇટ ફાસ્ટનેસ (પ્લાસ્ટિક) | 7-8 |
| લાઇટ ફાસ્ટનેસ (પ્લાસ્ટિક) | 260 |
રંગ | ![]() |
| હ્યુ વિતરણ |
વિશેષતા: સારા સ્થળાંતર પ્રતિકાર.
એપ્લિકેશન :
પાવડર કોટિંગ્સ, પીવીસી, રબર, પીએસ, પીપી, પીઈ માટે ભલામણ કરેલ.
પી.યુ. માં અરજી કરી શકાય છે.
સંબંધિત માહિતી
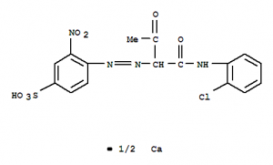
પરમાણુ માળખું :

ચીની નામ: રંગદ્રવ્ય પીળો 168
અંગ્રેજી નામ: સેગમેન્ટમાં પીળો 168
ચાઇનીઝ ઉપનામ: સીઆઈ પિગમેન્ટ નારંગી 71; ilgajing DPP નારંગી; રંગદ્રવ્ય નારંગી 73; બીઆઈએસ - (પી-ટેર્ટ-બટાયલ્ફેનાઇલ) - 1,4-ડિક્ટોપીરોલ અને પિરોલ
- [(ઇ) - 2 - [1 - [[(2-ક્લોરોફેનિલ) એમિનો] કાર્બોનીલ] - 2-oxક્સોપ્રોપીલ] ડાયઝનીલ] - 3-નાઇટ્રો -, કેલ્શિયમ મીઠું (1: 1)
સીએએસ નંબર: 71832-85-4
પરમાણુ સૂત્ર: c16h12cacln4o7s
પરમાણુ વજન: 479.8845
મુખ્ય ઉપયોગો :
રંગદ્રવ્ય એ કેલ્શિયમ મીઠું તળાવ છે જે સીઆ પિગમેન્ટ યલો 61 અને રંગદ્રવ્ય પીળો 62 ની સમાન રચના ધરાવે છે. તેમાં થોડો લીલો પ્રકાશ પીળો રંગ છે, સીઆઈ પિગમેન્ટ યલો 1 અને રંગદ્રવ્ય પીળો 3 ની વચ્ચે. તેમાં ઉત્તમ દ્રાવક પ્રતિકાર અને એલિફેટિક હાઇડ્રોકાર્બનનું સ્થળાંતર પ્રતિકાર છે. અને સુગંધિત હાઇડ્રોકાર્બન. તેનો ઉપયોગ મુખ્યત્વે પેઇન્ટ અને પ્લાસ્ટિકના રંગ માટે થાય છે. તેમાં પ્લાસ્ટિક પીવીસીમાં સહેલાઇથી ઓછી રંગની તાકાત અને ગ્રેડ 6 ની હળવા ગતિ સાથે સારો સ્થળાંતર પ્રતિકાર છે. કદ એચડીપીઇ વિકૃતિની ઘટનામાં જોવા મળે છે, મુખ્યત્વે એલડીપીઇ રંગ માટે ભલામણ કરવામાં આવે છે. તે તાજેતરના વર્ષોમાં સ્વિટ્ઝર્લ ofન્ડની સીબા ફાઇન કંપની દ્વારા વેચવામાં આવેલ અન્ય બિન-પારદર્શક નારંગી ડીપીપી રંગદ્રવ્ય છે. તે ઉચ્ચ-ગ્રેડ industrialદ્યોગિક કોટિંગ્સ માટે યોગ્ય છે, જેમ કે ઓટોમોબાઈલ પેઇન્ટ (ઓ.એમ.), દ્રાવક આધારિત રંગ બેકિંગ દંતવલ્ક, પાવડર પેઇન્ટ અને કોઇલ પેઇન્ટ, પરંતુ તેનો દ્રાવક પ્રતિકાર, પ્રકાશ પ્રતિકાર અને આબોહવા સ્થિરતા સીઆઇ પિગમેન્ટ લાલ જેટલા સારા નથી. સમાન પ્રકાર.











